" Bilim. Kanıt. Şifa. | Dr. Aleksi: Yeni Nesil Sağlık Ekosistemi."
SAMe: HÜCRESEL ENERJİNİN VE YAŞAMIN METİL ANAHTARI
METABOLİT & SUPLEMENTSTRES & ANTİ-STRES TEDAVİNÖRO BİLİŞSEL RESTORASYON & NÖROPROTEKTİFPSİKOPLASTİSİTE
Dr. Aleksi
12/10/20254 min oku


SAMe: HÜCRESEL ENERJİNİN VE YAŞAMIN METİL ANAHTARI
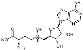
Kimlik: S-Adenozil Metiyonin (S-Adenosyl-L-Methionine veya SAMe)
Köken: Vücudun kendisinin ürettiği, temel bir amino asit (Metiyonin) ve hücresel enerji kaynağı (ATP) birleşimiyle oluşan doğal bir moleküldür. Modern biyokimya ve bütüncül psikiyatri/romatoloji alanlarının kesişiminde duran, etkileri ilaç kategorisinde değerlendirilebilecek kadar güçlü bir metabolittir. S-Adenozil Metiyonin (SAMe), basit bir takviye değil, hücresel yaşamın ve enerji transferinin anahtarıdır.
BÖLÜM I: KEŞFİ VE BİYOKİMYASAL ROLÜ
Tarihçe ve Yapı
SAMe, ilk kez 1950'lerde keşfedilmiştir. Ancak biyolojik sistemlerdeki muazzam rolü ve metil donörü (Methyl Donor) olarak işlevi anlaşıldıkça klinik ilgi odağı haline gelmiştir. Metiyonin ve Adenozin Trifosfat'tan (ATP) türetilen SAMe'nin sentezini, MetK tarafından kodlanan SAM sentetaz enzimi gerçekleştirir.
Metil Donörü Gücü: Hayatın Transferi
SAMe'nin gücü, onun biyolojideki en önemli rolünden gelir: Metil Donörlüğü.
Tanım: Metil donörü, vücutta bir metil grubunu (CH3) bir molekülden diğerine transfer eden bileşiktir.
Hayati Rol: SAMe, vücutta 100'den fazla kimyasal reaksiyonda (transmetilasyon) görev alır. Bu reaksiyonlar, DNA'nın onarımından protein sentezine, zar hasarının azaltılmasına ve nörotransmitter (sinir ileticisi) üretimine kadar hayati metabolik işlevlerin devamını sağlar.
Hücresel Koruma: SAMe'nin metil donörü olması, hücreleri kanser ve yaşlanma gibi önemli sorunlardan korur. Bu, onun etkilerinin neden bir besin desteğinden çok "ilaç" kategorisinde değerlendirildiğini açıklar.
BÖLÜM II: MODERN TIPTAKİ YERİ VE KULLANIM ALANLARI
SAMe'nin etkileri geniş bir spektrumu kapsar. En güçlü bilimsel kanıtlar şu dört ana alanda yoğunlaşmıştır:
1. Depresyon ve Nörolojik Fonksiyon
SAMe, tek karbon döngüsü yoluyla monoamin nörotransmiterlerinin (Serotonin, Dopamin, Norepinefrin) sentezinde kritik bir bileşendir.
Mekanizma: SAMe, depresyonla ilişkili Serotonin düzeylerini artırır ve sinir hücrelerinin birbirleriyle iletişim kurmasını sağlayan fosfolipidlerin (Fosfotidil Kolin, Fosfotidil Serin) yapımı için zorunludur.
Klinik Kanıt: Majör Depresif Bozukluk (MDB) gibi ağır durumlarda, SAMe'nin bazı trisiklik antidepresanlardan daha etkili ve daha iyi tolere edilebilir olduğu gösterilmiştir. Randomize Kontrollü Çalışmalarda (RKÇ), yardımcı SAMe tedavisinin (800 mg/gün) antidepresanlara anlamlı yanıtı artırdığı gözlemlenmiştir.
2. Osteoartrit (Kireçlenme) ve Eklem Sağlığı
SAMe'nin romatizmal etkileri, başlangıçta depresyon araştırmaları sırasında hastaların eklem ağrılarındaki beklenmedik iyileşmeyle ortaya çıkmıştır.
Çift Yönlü Etki: SAMe, sadece ağrıyı kesici (analjezik) etki göstermekle kalmaz, aynı zamanda eklem hasarını onarıcı (rejeneratif) etkiye sahiptir.
Mekanizma: Enflamasyonu azaltarak eklemdeki yıkımı yavaşlatır ve kıkırdağın temel yapıtaşı olan proteoglikan yapımını hızlandırır.
Kıyaslama: Seleksibib gibi geleneksel NSAII (steroid olmayan antienflamatuar ilaç) ile yapılan karşılaştırmalı çalışmalarda, iki aylık kullanımdan sonra SAMe'nin osteoartritik ağrıyı Seleksibib kadar etkili kontrol ettiği bildirilmiştir. Bu, yan etki oluşturmadan onarım sağlayan değerli bir alternatiftir.
3. Karaciğer Hastalıkları
Karaciğer, SAMe'yi üreten ana organdır ve bu metabolit, toksinlere karşı korunmada hayati rol oynar.
Detoksifikasyon: SAMe, karaciğerin ana antioksidanı olan Glutatyon düzeyini artırmaya yardımcı olur. Glutatyon, toksik etkenlere bağlı karaciğer enzim yüksekliğini düşürmede kritiktir.
Klinik Destek: Araştırmalar, sirozu olan bireylerde SAMe kullanımının ölüm ve/veya karaciğer nakli oranını azaltabileceğini göstermektedir. Ayrıca safra akımının engellenmesi durumu olan kolestaziste süreci iyileştirir. Hayvan deneyleri, SAMe kullanımının karaciğer kanseri riskini dahi azaltabileceğini öne sürmektedir.
4. Fibromiyalji ve Kronik Ağrı
Kökeni karmaşık olan fibromiyalji için SAMe, ağrı yönetimine bütüncül bir yaklaşımla destek sunar.
Ağrı ve Ruh Hali: Ağrıyı azaltıcı etkiyi, hem Serotonin düzeylerini artırarak hem de Glutatyon seviyesini yükselterek oksidatif stresi yöneterek gösterir.
Klinik Çalışma: Yapılan çift kör, plasebo kontrollü bir çalışma, oral yoldan verilen 800 mg SAMe'nin yorgunluğu, sabah tutukluğunu, ruh halini ve ağrıyı iyileştirdiğini bulmuştur.
BÖLÜM III: DİKKAT VE DOZAJ
SAMe güçlü bir ajandır ve kullanımı hekim onayı gerektirir.
Dozaj Aralıkları
SAMe, hastalık türüne göre geniş bir dozaj aralığında kullanılır:
Osteoartrit: Genellikle günde 400 mg ile 1.200 mg arasında.
Depresyon/Karaciğer Hastalığı: Genellikle günde 800 mg ile 1.200 mg arasında, bölünmüş dozlarda önerilir.
Kritik Kontrendikasyonlar ve Etkileşimler
Bipolar Bozukluk: Depresif hastalarda nadiren mani veya hipomani atakları bildirilmiştir. Bipolar hastalıklarda kullanımından kaçınılmalıdır.
İlaç Etkileşimleri: Serotonin sendromu riski nedeniyle antidepresanlar, 5-HTP, levodopa ve monoamin oksidaz inhibitörleri (MAOİ) ile beraber alınmamalıdır.
Öksürük Şurupları: Dekstrometorfan (birçok öksürük şurubunun etken maddesi) içeren ilaçlarla etkileşime girebileceği için beraber kullanımı kesinlikle önerilmez.


