"Bitkisel Kozmetik"
Varis ve Kronik Venöz Yetmezlik
Dr. Aleksi
12/21/20259 min oku


YERÇEKİMİNE KARŞI KAYBEDİLEN SAVAŞ: VARİS VE KRONİK VENÖZ YETMEZLİK
"Hidrolik Sistemin Çöküşü, Biyokimyasal Savunma ve Doğanın Damar Koruyucuları"
İnsan vücudundaki dolaşım sistemi iki farklı hikaye anlatır. Arterler (atardamarlar), kalbin güçlü pompasıyla kanı yokuş aşağı, hızla ve oksijen yüklü olarak gönderir. Ancak Venler (toplardamarlar), "kirli" kanı ayak parmaklarından kalbe, yani yerçekimine inat, metrelerce yokuş yukarı taşımak zorundadır. Bu, mühendislik harikası bir hidrolik sistemdir.
Varis, işte bu mühendisliğin yorulduğu, kapakçıkların iflas ettiği ve kanın geri kaçarak damar içinde göllendiği noktadır. Bu sadece kozmetik bir kusur değil, biyofiziksel bir tükenişin öyküsüdür.
BÖLÜM I: FİZYOPATOLOJİ (MEKANİK BİR İFLASIN ANATOMİSİ)
Varis oluşumu bir gecede gerçekleşmez. Tıbbi literatürde "Kronik Venöz Yetmezlik" olarak adlandırılan bu durum, damar içi basıncın sürekli yüksek seyretmesiyle (Venöz Hipertansiyon) başlayan sinsi bir süreçtir.
Kapakçık Yetmezliği (Valvular Incompetence): Toplardamarlarımızın içinde, kanın yukarı çıkmasına izin veren ama aşağı düşmesini engelleyen tek yönlü "check-valf" (kapakçık) sistemleri vardır. Genetik zayıflık veya yerçekimi baskısı sonucu bu kapakçıklar deforme olur ve kapanamaz hale gelir.
Reflü (Geri Kaçış): Kapakçık sızdırmaya başladığında, kan yukarı çıkamaz ve aşağı doğru geri akar.
Staz ve Genişleme (Varis Pakeleri): Aşağıda biriken kan, damar duvarına muazzam bir baskı yapar. Esnekliğini yitiren damar genişler, kıvrımlaşır ve ciltten dışarı taşan o bildiğimiz "solucanvari" yapıları oluşturur.
Endotel Hasarı ve İnflamasyon: Kanın damar içinde göllenmesi (staz), damarın iç yüzeyini döşeyen endotel hücrelerini bozar. Lökositler (beyaz kan hücreleri) buraya yapışır ve steril bir iltihap (inflamasyon) başlatır. Bu da damarı "elek gibi" geçirgen hale getirerek sıvının dokuya sızmasına (ödeme) neden olur.
BÖLÜM II: BELİRTİLER, RİSKLER VE KARANLIK TABLO
Hasta genellikle sadece damar görüntüsünden şikayetçi olsa da, altta yatan "buzdağı" çok daha büyüktür.
Klinik Belirtiler (Semptomlar)
Ağırlık Hissi: Günün sonunda artan, bacaklarda "kurşun bağlanmış" gibi bir yorgunluk.
Gece Krampları: Genellikle baldır kaslarında, oksijenlenmenin azalmasına bağlı ani kasılmalar.
Venöz Egzama: Kirli kanın birikmesi cildi tahriş eder, kaşıntı ve kızarıklık başlar.
Ödem: Özellikle ayak bileği çevresinde, parmakla basıldığında iz bırakan şişlikler.
Komplikasyonlar (Tedavi Edilmezse Ne Olur?)
Tromboflebit: Göllenen kan pıhtılaşmaya meyillidir. Yüzeyel damarlarda ağrılı, sert ve sıcak pıhtılaşmalar oluşur.
Venöz Ülserler: Dolaşımın en zayıf olduğu ayak bileği iç kısmında (Gaiter bölgesi), doku oksijensiz kalarak ölür ve iyileşmesi çok güç açık yaralar (ülser) açılır.
Lipodermatoskleroz: Cilt altı dokusu sertleşir, odunsu bir hal alır ve bacak rengi (hemosiderin birikimiyle) kalıcı olarak kahverengiye döner.
Hastalık Zemini ve Tanı
Varis gelişimi için en güçlü faktör Genetik'tir; ailesinde varis olanlarda risk %70 artar. Hamilelik ve sürekli ayakta durmayı gerektiren meslekler (cerrahlık, öğretmenlik) süreci hızlandırır.
Tanı: Altın standart, Renkli Doppler Ultrasonografi'dir. Bu yöntemle damar içindeki kanın akış yönü haritalanır ve kaçağın (reflünün) milimetrik yeri tespit edilir.
BÖLÜM III: TEDAVİ STRATEJİLERİ VE "GÖREV GÜCÜ"
Varis tedavisinde cerrahi müdahaleler (Lazer Ablasyon, Skleroterapi, Flebektomi) mekanik sorunu çözer. Ancak damar duvarını hücresel düzeyde güçlendirmek, yangıyı almak ve koruma sağlamak için farmakolojik ve fitoterapötik ajanlar şarttır.
Bu bölümde, venöz sistemi onaran ajanları bir "Özel Kuvvetler Timi" gibi sınıflandıracağız.
A. REÇETELİ AJANLAR (Farmakolojik Destek)
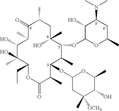
MPFF (Mikronize Saflaştırılmış Flavonoid Fraksiyonu): Genellikle %90 Diosmin ve %10 Hesperidin karışımıdır. Moleküller "mikronize" edilerek (küçültülerek) emilim maksimize edilmiştir. Damar duvarının kasılma yeteneğini artırır.
Kalsiyum Dobesilat: Kanın akışkanlığını düzenler ve lenfatik sistemi uyararak ödemi boşaltır.
B. DOĞANIN DAMAR CERRAHLARI (Fitoterapötik Ajanlar)
Doğa, venöz yetmezliğin her bir mekanizması için spesifik bir molekül sunar.
1. SIZDIRMAZLIK EKİBİ: AT KESTANESİ (Aesculus hippocastanum)
Aktif Ajan: Aescin (Esil)
Görevi (Anti-Eksüdatif): Damar duvarındaki minik delikleri (porları) kapatarak sıvının dokuya sızmasını engeller.
Etkisi: Fitoterapinin en güçlü ödem çözücüsüdür. Cochrane derlemelerine göre, ödemi indirmede varis çorabı kadar etkilidir.
2. SIKILAŞTIRMA TİMİ: KASAP SÜPÜRGESİ (Ruscus aculeatus)
Aktif Ajan: Ruskogeninler
Görevi (Venotonik): Damar duvarındaki alfa-adrenerjik reseptörleri uyararak damarın büzülmesini sağlar. Vücudun kendi ürettiği norepinefrin hormonunu taklit eder.
Etkisi: Genişlemiş, gevşemiş varis damarlarını fiziksel olarak daraltır ve kanın yukarı pompalanmasına yardım eder.
3. MİMARİ ONARIM EKİBİ: GOTU KOLA (Centella asiatica)
Aktif Ajan: Triterpenik Fraksiyon
Görevi (Doku Onarıcı): Damar duvarındaki fibroblast hücrelerini uyararak Kollajen Tip 1 ve Tip 3 sentezini artırır.
Etkisi: Gevşemiş ve sarkmış damar duvarını, tıpkı eski bir binanın kolonlarını güçlendirir gibi yeniden örer. Varis yaralarının (ülserlerin) iyileşmesinde en etkili ajandır.
4. KORUMA VE KALKAN EKİBİ: ÜZÜM ÇEKİRDEĞİ VE ASMA YAPRAĞI
Aktif Ajan: OPC ve Flavonoidler
Görevi (Enzim İnhibisyonu): Damar duvarını "yiyen" enzimleri (Elastaz ve Kollajenaz) durdurur. Serbest radikallere karşı endotel tabakasını korur.
Etkisi: Damar duvarının yaşlanmasını engeller, kılcal damar kanlanmasını artırarak bacaklardaki karıncalanma ve krampları azaltır.
5. YÜZEYEL RAHATLAMA: HAMAMELIS (Cadı Fındığı)
Aktif Ajan: Tanenler
Görevi (Astringent): Büzücü ve yatıştırıcıdır.
Etkisi: Genellikle jel veya tonik olarak dışarıdan uygulanır. Varisli bölgedeki kızarıklığı, yanmayı alır ve dokuyu sıkılaştırır.
SONUÇ: BÜTÜNCÜL ZAFER STRATEJİSİ
Varis tedavisi tek bir cephede kazanılamaz. Başarılı bir yönetim şu üç ayağın birleşimiyle mümkündür:
Mekanik Destek: Varis çorabı ile dışarıdan basınç uygulayarak yerçekimine karşı fiziksel bariyer kurmak.
Biyokimyasal Onarım: Diosmin, At Kestanesi ve Gotu Kola kombinasyonlarıyla damarı içeriden sıvayıp güçlendirmek.
Yaşam Tarzı: Hareketsizliği önleyerek "baldır kası pompasını" çalıştırmak.
Yerçekimini kapatamayız, ancak damarlarımızın ona direnme gücünü, doğanın sunduğu bu mühendislik harikası moleküllerle artırabiliriz.






DOĞANIN BİYOKİMYASAL LABORATUVARI: SÜLÜK, HİRUDİN VE VARİS
"Canlı Bir Eczaneden Modern Tıbba Uzanan Enzimatik Yolculuk"
Modern tıp, varis ve tromboflebit (damar iltihabı) tedavisinde pıhtılaşmayı önlemek için sofistike ilaçlar kullanır. Ancak doğa, bu sorunu milyonlarca yıl önce çözmüştür. Tıbbi sülük (Hirudo medicinalis), avının kanını emerken pıhtılaşmayı durdurmak zorundadır. İşte bu zorunluluk, evrimsel süreçte mükemmel bir "antikoagülan" (kan sulandırıcı) kokteylin geliştirilmesini sağlamıştır.
Bu analizde sülük tedavisini (Hirudoterapi) mistik bir uygulama olarak değil, biyokimyasal bir ilaç uygulama yöntemi olarak ele alacağız.
BÖLÜM I: SÜLÜK ÖZÜTÜ NASIL ELDE EDİLİR? (ÜRETİM TEKNOLOJİSİ)
Sülüklerin tedavi edici gücü, salyalarındaki biyoaktif proteinlerde saklıdır. Peki, bu değerli sıvı laboratuvar ortamında nasıl izole edilir?
Sülük özütü (Leech Extract) eldesi için kullanılan üç ana bilimsel yöntem vardır:
Elektriksel Stimülasyon (Sülük Sağımı): Bu, en "insancıl" ve saf yöntemdir. Sülükler %3'lük tuzlu su çözeltisine veya arginin içeren özel bir sıvıya konur. Düşük voltajlı (örneğin 4-6 Volt) elektriksel uyarılar verilir. Bu şok, sülüğün salgı bezlerini kasar ve sülük, biriktirdiği salyayı (tükürüğü) dışarı kusar. Elde edilen bu sıvı, saf biyoaktif bileşenler içerir.
Doku Homojenizasyonu (Bütüncül Ekstraksiyon): Sülükler dondurulur ve mekanik olarak parçalanarak (homojenize edilerek) toz haline getirilir. Ardından santrifüj ve filtrasyon işlemleriyle proteinler ayrıştırılır. Bu yöntem daha fazla madde elde edilmesini sağlar ancak sülüğün diğer vücut sıvılarıyla karışma riski vardır.
Rekombinant DNA Teknolojisi (Modern Yöntem): Günümüzde ilaç sanayinde kullanılan "Hirudin", genellikle sülüklerden sağılmaz. Sülüğün hirudin üreten geni, maya mantarlarına (Saccharomyces cerevisiae) veya bakterilere aktarılır. Bu mikroorganizmalar laboratuvar tanklarında "Hirudin" üretir. Buna "Rekombinant Hirudin" denir.
BÖLÜM II: MUCİZEVİ KOKTEYL VE "HİRUDİN"
Sülük ısırdığında sadece kan emmez, dokuya bir "enzim bombası" bırakır. İşte o kokteylin içindeki başrol oyuncuları:
Hirudin (Başrol): Doğadaki en güçlü Trombin İnhibitörüdür. Kanın pıhtılaşmasını sağlayan "Trombin" enzimini kilitler. Heparinden farklı olarak, çalışmak için başka faktörlere ihtiyaç duymaz, doğrudan etki eder.
Hyaluronidase (Yayılma Faktörü): Hücreleri birbirine bağlayan "Hyaluronik asit" çimentosunu eritir. Bu sayede, sülüğün verdiği diğer ilaçlar dokunun derinliklerine (2-3 cm derine) hızla nüfuz eder. Lokal tedavideki başarının sırrı budur.
Calin ve Destabilase: Oluşmuş pıhtıları (fibrin) eritme yeteneğine sahiptir.
BÖLÜM III: HİRUDOİD VE LOKAL ETKİNLİK
Kullanıcıların eczanede gördüğü "Hirudoid" (veya benzeri mukopolisakkarit polisülfat içeren jeller), sülükten ilham alınarak geliştirilmiş, pıhtı eritici ve yangı giderici preparatlardır. Sülük tedavisinin "tüpteki hali" gibidir.
Varis Tedavisindeki Yeri ve Lokal Etki Mekanizması:
Sistemik (ağızdan/damardan) kan sulandırıcılar tüm vücudu etkiler ve kanama riski yaratır. Ancak Hirudoid türevi jellerin lokal (bölgesel) uygulanması şu avantajları sağlar:
Perkütan Emilim (Deri Altına Geçiş): Formülasyonundaki taşıyıcılar sayesinde, aktif madde (heparinoidler) deriden geçer ve yüzeyel toplardamarlara ulaşır.
Mikro-Trombüslerin Erimesi: Varisli damarlarda kan yavaş aktığı için "mikro pıhtılar" oluşur. Hirudoid, lokal olarak fibrinolitik (pıhtı eritici) etki göstererek bu tıkaçları açar ve akışı rahatlatır.
Anti-İnflamatuar Etki: Varisin neden olduğu endotel hasarını ve yangıyı (kızarıklık, yanma) baskılar.
Hematom (Morluk) Giderici: Damar dışına sızan kanı hızla temizler. Özellikle varis ameliyatları veya skleroterapi sonrası oluşan morlukların tedavisinde altın standarttır.
Özetle: Hirudoid veya sülük tedavisi, varisli damarı yok etmez (bunu lazer veya cerrahi yapar), ancak varisin yarattığı "staz, pıhtı riski ve yangıyı" yönetmekte çok etkilidir.
BÖLÜM IV: RİSKLER VE YAN ETKİLER
Doğal olması, zararsız olduğu anlamına gelmez. Özellikle canlı sülük uygulamasında (Hirudoterapi) ciddi riskler vardır:
Enfeksiyon Riski (Aeromonas hydrophila): Sülüğün bağırsağında, kanı sindirmesine yardım eden Aeromonas bakterisi yaşar. Sülük tedavisi sırasında bu bakteri hastaya bulaşabilir. Bu nedenle modern hirudoterapide, işlem sonrası profilaktik (koruyucu) antibiyotik kullanımı yaygındır.
Uzun Süreli Kanama: Sülük, ısırık yerinde güçlü bir antikoagülan (Hirudin) bıraktığı için, sülük düştükten sonra ısırık yeri 6-24 saat boyunca sızıntı şeklinde kanayabilir. Pıhtılaşma bozukluğu olanlarda bu tehlikelidir.
Alerjik Reaksiyonlar: Sülük salyası 100'den fazla protein içerir. Bazı bünyeler bu proteinlere karşı şiddetli alerjik reaksiyon (kaşıntı, kabarma, anafilaksi) geliştirebilir.
Lokal İritasyon: Hirudoid kremler nadiren de olsa ciltte kontakt dermatit (temas egzaması) yapabilir.
SONUÇ: BİYOLOJİK CERRAHIN YERİ
Sülük tedavisi ve sülükten elde edilen özütler (Hirudin/Hirudoid), varis tedavisinde "tamamlayıcı" bir güçtür.
Genişlemiş, kapakçığı bozulmuş bir ana damarı sülük veya kremle eski haline döndüremezsiniz (Mekanik sorun, mekanik çözüm gerektirir).
Ancak; Yüzeyel Tromboflebit (damar iltihabı), ödem, ağrı ve küçük pıhtıların yönetiminde, özellikle sistemik ilaç kullanılamayan durumlarda, lokal etkinliği kanıtlanmış, vazgeçilmez bir biyokimyasal silahtır.
Sülük, doğanın mikro-cerrahıdır; onun laboratuvarında ürettiği moleküller ise modern farmakolojinin hala taklit etmeye çalıştığı birer mühendislik harikasıdır.


İletişim
Bize ulaşmak için aşağıdaki bilgileri kullanın.
Hİzmetler
Tıbbi Sorumluluk Reddi (Disclaimer):
Bu web sitesinde sunulan tüm içerikler yalnızca bilgilendirme amacı taşır. Sunulan bilgiler, profesyonel tıbbi tanı, tedavi ya da tavsiye yerine geçmez. Web sitesinde yer alan sağlık bilgilerinin, tıbbi karar verme sürecinizde tek başına kullanılmaması gerekir. Herhangi bir sağlık sorununuzda, şikâyetinizde ya da tedavi ihtiyacınızda mutlaka bir doktor veya ilgili uzman sağlık profesyoneline danışınız. Bu sitede yer alan bilgilerin kullanımından doğabilecek herhangi bir doğrudan ya da dolaylı zarardan dolayı site sahibi veya yazarlar sorumluluk kabul etmez.
© 2025 İlkiz Açıkalın
